Рубрика: ГОСТы
Общие технические условия
ГОСТ 30515-97
МЕЖГОСУДАРСТВЕННЫЙ СТАНДАРТ
ЦЕМЕНТЫ
Общие технические условия
Издание официальное
МЕЖГОСУДАРСТВЕННАЯ НАУЧНО-ТЕХНИЧЕСКАЯ КОМИССИЯ ПО СТАНДАРТИЗАЦИИ, ТЕХНИЧЕСКОМУ НОРМИРОВАНИЮ И СЕРТИФИКАЦИИ В СТРОИТЕЛЬСТВЕ (МНТКС)
Москва 1998
Предисловие
1 РАЗРАБОТАН Российским государственным концерном ЦЕМЕНТ, фирмой «Цемискон», Научно-исследовательским, проектно-конструкторским и технологическим институтом бетона и железобетона (НИИЖБ), Акционерным обществом «НИИцемент» Российской Федерации
ВНЕСЕН Госстроем России
2 ПРИНЯТ Межгосударственной научно-технической комиссией по стандартизации, техническому нормированию и сертификации в строительстве (МНТКС) 10 декабря 1997 г
За принятие проголосовали
| Наименование государства |
Наименование органа государственного управления строительством |
| Республика Армения |
Министерство градостроительства Республики Армения |
| Республика Беларусь |
Минстройархитектуры Республики Беларусь |
| Грузия |
Министерство урбанизации и строительства Грузии |
| Республика Казахстан |
Агентство строительства и архитектурно-градостроительного контроля Министерства экономики и торговли Республики
Казахстан |
| Кыргызская Республика |
Минархстрой Кыргызской Республики |
| Республика Молдова |
Министерство территориального развития, строительства и коммунального хозяйства Республики Молдова |
| Российская Федерация |
Госстрои России |
| Республика Таджикистан |
Госстрои Республики Таджикистан |
3 ВЗАМЕН СТ СЭВ 3477-81, СТ СЭВ 4772-84, ГОСТ 4.214-80, ГОСТ 22236-85, ГОСТ 22237-85, ГОСТ 23464-79
4 ВВЕДЕН В ДЕЙСТВИЕ с 1 октября 1998 г в качестве государственного стандарта Российской Федерации постановлением Госстроя России от 29 апреля 1998 г. № 18-42.
Настоящий стандарт не может быть полностью или частично воспроизведен, тиражирован и распространен в качестве официального издания на территории Российской Федерации без разрешения Госстроя России
Содержание
Введение
1 Область применения
2 Нормативные ссылки
3 Определения
4 Классификация
5 Общие технические требования
5.1 Характеристики
5.2 Требования к материалам
5.3 Упаковка
5.4 Маркировка
6 Требования безопасности
7 Отбор проб
7.1 Общие положения
7.2 Оборудование для отбора, смешивания и разделения проб
7.3 Проверка однородности объединенной (лабораторной) пробы
7.4 Процедура отбора и подготовки проб
7.5 Упаковка, маркировка и хранение проб
7.6 Акт отбора проб
8 Правила приемки
8.1 Общие положения
8.2 Приемка
8.3 Оценка уровня качества
8.4 Контроль качества цемента потребителем и органами надзора
9 Методы контроля
10 Транспортирование и хранение
10.1 Транспортирование
10.2 Хранение
Приложение А Термины и определения
Приложение Б Форма акта отбора проб у изготовителя
Приложение В Форма акта отбора проб в любой организации, кроме изготовителя
Приложение Г Форма журнала приемосдаточных испытаний
Приложение Д Форма документа о качестве
Приложение Е Приемка цемента в потоке
Приложение Ж Оценка уровня качества цемента по переменным
Приложение И Библиография
Введение
Настоящий стандарт разработан на основе ряда межгосударственных стандартов на цемент и Европейского стандарта ENV 197-1 [1] и унифицирован с ним в основном в части правил приемки и оценки уровня качества по критериям соответствия, а также классификации цементов по классам прочности.
В стандарте заложены основы для гармонизации с ENV 197-1 стандартов на цементы конкретных видов или группу конкретной продукции.
Установленные настоящим стандартом требования обязательны при разработке новых и пересмотре действующих нормативных документов на цементы, при производстве и постановке на производство новых видов цементов.
ГОСТ 30515-97
МЕЖГОСУДАРСТВЕННЫЙ СТАНДАРТ
ЦЕМЕНТЫ
Общие технические условия
CEMENTS
General specifications
Дата введения 1998—10—01
1 Область применения
Настоящий стандарт распространяется на все цементы и устанавливает:
- термины с соответствующими определениями;
- классификацию,
- общие технические требования,
- требования безопасности,
- требования к отбору проб для контроля качества цемента;
- правила приемки и оценки уровня качества;
- методы контроля;
- требования к транспортированию и хранению. Установленные настоящим стандартом требования, за исключением приложений Г и Д, являются обязательными.
2 Нормативные ссылки
В настоящем стандарте использованы ссылки на следующие стандарты:
ГОСТ 310.4—81 Цементы. Методы определения предела прочности при изгибе и сжатии.
ГОСТ 2226—88 Мешки бумажные. Технические условия
ГОСТ 4013—82 Камень гипсовый и гипсоангидритовый для производства вяжущих материалов. Технические условия
ГОСТ 5382—91 Цементы и материалы цементного производства. Методы химического анализа
ГОСТ 9078—84 Поддоны плоские. Общие технические условия
ГОСТ 10178—85 Портландцемент и шлакопортландцемент. Технические условия
ГОСТ 14192—96 Маркировка грузов
ГОСТ 15467—79 Управление качеством продукции. Основные понятия. Термины и определения
ГОСТ 15895—77 Статистические методы управления качеством продукции. Термины и определения
ГОСТ 16504—81 Система государственных испытаний продукции. Испытание и контроль качества продукции.Основные термины и определения
ГОСТ 25951—83 Пленка полиэтиленовая термоусадочная. Технические условия
ГОСТ 30108—94 Материалы и изделия строительные. Определение удельной эффективной активности естественных радионуклидов.
3 Определения
Термины, которые следует использовать в нормативных документах, технической и технологической документации на цементы, и их определения приведены в приложении А.
4 Классификация
4.1 По назначению цементы подразделяют на:
- общестроительные;
- специальные.
4.2 По виду клинкера цементы подразделяют на основе:
- портландцементного клинкера;
- глиноземистого (высокоглиноземистого) клинкера;
- сульфоалюминатного (-ферритного) клинкера.
4.3 По вещественному составу цементы подразделяют на типы, характеризующиеся различным видом и содержанием минеральных добавок. Вид и содержание минеральных добавок регламентируют в нормативных документах на цемент конкретного вида или группу конкретной продукции.
4.4 По прочности на сжатие цементы подразделяют на классы:
22,5; 32,5; 42,5; 52,5. В нормативных документах на цементы конкретных видов могут быть установлены дополнительные классы прочности. Для некоторых специальных видов цементов с учетом их назначения классы прочности не устанавливают.
Примечание — Для цементов конкретных видов, выпускаемых по ранее утвержденным нормативным документам до их пересмотра или отмены, сохраняется подразделение цементов по прочности на сжатие по маркам.
4.5 По скорости твердения общестроительные цементы подразделяют на:
- нормальнотвердеющие — с нормированием прочности в возрасте 2 (7) и 28 сут;
- быстротвердеющие — с нормированием прочности в возрасте 2 сут, повышенной по сравнению с нормальнотвердеющими, и 28 сут.
4.6 По срокам схватывания цементы подразделяют на:
- медленносхватывающиеся — с нормируемым сроком начала схватывания более 2 ч;
- нормальносхватывающиеся — с нормируемым сроком начала схватывания от 45 мин до 2 ч;
- быстросхватывающиеся — с нормируемым сроком начала схватывания менее 45 мин.
4.7 Классификацию цементов по специальным требованиям при необходимости устанавливают в нормативных документах на конкретные виды специальных цементов.
4.8 Рациональные области применения цементов должны быть приведены в нормативных документах на цемент конкретного вида или группу конкретной продукции.
5 Общие технические требования
Цементы должны изготавливаться в соответствии с требованиями настоящего стандарта и нормативного документа на цемент конкретного вида или группу конкретной продукции по технологическому регламенту, утвержденному изготовителем.
5.1 Характеристики
5.1.1 Показатели качества, установленные в нормативных документах на цементы, подразделяют на обязательные и рекомендуемые.
5.1.2 Номенклатура обязательных показателей качества для цементов приведена в таблице 1.
Таблица 1
Наименование показателя,
единица измерения |
Вид цемента |
Прочность на сжатие и (или) изгиб,
МПа
Вещественный состав, %
Равномерность изменения объема
Время загустевания, мин
Плотность цементного теста, г/см3
Самонапряжение, МПа
Линейное расширение, %
Тепловыделение, кал/г
Водоотделение, % или мл
Содержание оксида магния MgO в
клинкере, %
Содержание оксида серы (VI) SO3, %
Содержание хлор-иона Сl-, %
Содержание шестивалентного хрома
Cr+6, %
Содержание оксида алюминия
Аl2О3, %
Минералогический состав, %
Удельная эффективная активность
естественных радионуклидов, Бк/кг |
Все цементы
Все цементы
Все цементы на основе портландце-
ментного клинкера, кроме тампо-
нажных
Цементы тампонажные
Цементы тампонажные
Цементы напрягающие
Цементы расширяющиеся, напряга
ющие, безусадочные
Цементы для гидротехнических со
оружений
Цементы для строительных раство
ров, дорожные, тампонажные
Все цементы на основе портландце-
ментного клинкера
Все цементы на основе портландце-
ментного клинкера
Все цементы на основе портландце-
ментного клинкера
Портландцемент для производства
асбестоцементных изделий
Все цементы на основе глиноземис
того (высокоглиноземистого) клин
кера
Цементы на основе портландцемен-
тного клинкера — сульфатостойкие,
тампонажные, цементы для труб,
шпал, опор, мостовых конструкций
Все цементы
|
5.1.3 Показатели качества: сроки схватывания, тонкость помола, подвижность цементно-песчаного раствора, растекаемость цементного теста, гидрофобность, водонепроницаемость, сульфатостойкость, морозостойкость, огнеупорность, коррозиестойкость, содержание в клинкере свободного оксида кальция, щелочных оксидов и нерастворимого остатка, потери массы при прокаливании являются рекомендуемыми.
При разработке нормативных документов на новые виды цементов отдельные рекомендуемые показатели качества могут быть установлены как обязательные.
5.1.4 Значение обязательных и рекомендуемых показателей качества устанавливают в нормативных документах на цемент конкретного вида или группу конкретной продукции в зависимости от их назначения и с учетом требований настоящего стандарта.
5.1.5 Цементы на основе портландцементного клинкера не должны содержать хлор-иона более 0,1 %, а содержание оксида серы (VI) должно быть не менее 1,0 и не более 4,0 % массы цемента.
5.2 Требования к материалам
Для производства цементов применяют:
- клинкер, изготовленный в соответствии с требованиями технологического регламента. Клинкер нормированного минералогического состава применяют в случаях, когда это предусмотрено нормативными документами на специальные цементы;
- гипсовый камень по ГОСТ 4013. Допускается применять другие материалы, содержащие сульфат кальция, по соответствующим нормативным документам;
- добавки минеральные, добавки технологические и регулирующие основные свойства цемента по соответствующим нормативным документам.
5.3 Упаковка
5 3.1 Цемент отгружают в упаковке или без нее. При поставке без упаковки цемент должен быть отгружен в специализированном транспорте.
5.3.2 Для упаковки цемента применяют:
- бумажные пяти- или шестислойные мешки по ГОСТ 2226, сшитые или склеенные с закрытой горловиной с клапаном марок НМ, БМ или БМП. Могут быть использованы бумажные мешки зарубежного производства, показатели качества которых не ниже требований ГОСТ 2226;
- мягкие контейнеры с водонепроницаемым вкладышем или другая упаковка, надежно защищающая цемент от увлажнения и загрязнения, по соответствующим нормативным документам.
Для мелкой расфасовки применяют полиэтиленовые банки, пакеты, а также другую упаковку, обеспечивающую сохранность цемента, по соответствующим нормативным документам.
5.3.3 Предельная масса брутто мешка с цементом не должна быть более 51 кг.
5.3.4 Среднюю массу брутто мешка с цементом определяют взвешиванием 20 мешков, выбранных методом случайного отбора из партии, и делением результата на 20.
Среднюю массу мешка определяют взвешиванием 20 мешков, выбранных методом случайного отбора из партии полученных мешков, и делением результата на 20.
Среднюю массу нетто цемента в мешке определяют, вычитая из средней массы брутто мешка с цементом среднюю массу мешка.
Отклонение средней массы нетто цемента в мешках данной партии от массы нетто, указанной на упаковке, не должно быть более кг.
Отклонение массы нетто цемента в отдельном мешке от указанной на упаковке не должно быть более 1 кг.
5.3.5 Массу брутто мягкого контейнера с цементом определяют непосредственно после его заполнения.
Среднюю массу нетто цемента в мягком контейнере определяют, вычитая из массы брутто мягкого контейнера с цементом среднюю массу мягкого контейнера, определенную аналогично средней массе бумажного мешка.
Отклонение средней массы нетто цемента в мягком контейнере от указанной на упаковке не должно быть более +2-1 % .
5.3.6 Масса нетто цемента в отдельной упаковке при мелкой расфасовке должна быть (3; 5) ±0,05 кг, (10; 20) ±0,3 кг.
5.4 Маркировка
5.4.1 Маркировку цемента в мешках производят на каждом мешке в любой его части. При упаковке цемента в мягкие контейнеры маркировку наносят на этикетку, вкладываемую в специальный карман, имеющийся на мягком контейнере. Допускается наносить маркировку несмываемой краской на боковую поверхность мягкого контейнера в любой ее части.
5.4.2 При мелкой расфасовке цемента маркировку наносят на этикетку, которую наклеивают на банку или пакет, либо вкладывают между внешними и внутренними слоями пакета, либо маркировку наносят непосредственно на банку или пакет. Вкладывать этикетку в пакет разрешается только в том случае, если наружный слой пакета изготовлен из прозрачного материала.
5.4.3 Маркировка должна быть отчетливой и содержать:
- наименование изготовителя и его товарный знак;
- условное обозначение цемента и (или) его полное наименование в соответствии с нормативным документом;
- класс прочности (марку) цемента, если нормативным документом предусмотрено деление по классам прочности (маркам);
- обозначение нормативного документа, по которому поставляют цемент;
- среднюю массу нетто цемента в упаковке или массу нетто цемента в транспортном средстве;
- знак соответствия при поставке сертифицированного цемента (если это предусмотрено системой сертификации).
5.4.4 При поставке цемента в мелкой расфасовке каждая упаковка должна иметь краткую инструкцию по его применению, которая может быть воспроизведена на упаковке или прилагаться к ней.
При поставке цветного цемента на упаковку должна быть нанесена полоса соответствующего цвета.
5.4.5. При формировании транспортных пакетов из мешков с цементом верхний ряд мешков должен быть уложен так, чтобы была отчетливо видна маркировка на мешках. На мешки верхнего ряда дополнительно наносят транспортную маркировку по ГОСТ 14192.
5.4.6 При поставке цемента в мелкой расфасовке, помещенной в укрупненную тару, этикетку наклеивают также и на тару. При этом на этикетке дополнительно указывают число упаковок в таре.
5.4.7 Каждое транспортное средство (в том числе при поставке цемента без упаковки) снабжают ярлыком, в котором указывают все сведения по 5.4.3 и дополнительно номер партии цемента и дату отгрузки. Ярлык прикрепляют к транспортному средству в доступном месте любым способом, обеспечивающим его сохранность при транспортировании.
6 Требования безопасности
Удельная эффективная активность естественных радионуклидов Аэфф в цементе не должна быть более 370 Бк/кг, а в специальных цементах (например, тампонажных, дорожных), не предназначенных для использования в строительстве жилых, общественных и производственных зданий, — не более 740 Бк/кг.
7 Отбор проб
7.1 Общие положения
7.1.1 Отбор проб для производственного контроля осуществляют в соответствии с технологической документацией изготовителя.
7.1.2 Отбор проб для контроля качества цемента третьей стороной в целях инспекционных, сертификационных и других видов испытаний осуществляют только от партии (части партии), принятой службой технического контроля изготовителя.
7.1.3 Результаты испытаний пробы, отобранной в соответствии с требованиями настоящего стандарта, распространяются только на ту партию (часть партии) цемента, от которой отобрана проба.
7.1.4 Для контроля качества цемента составляют одну объединенную пробу из точечных проб, отобранных от каждой контролируемой партии (части партии).
Не допускается составлять объединенную пробу из цемента разных партий.
7.2 Оборудование для отбора, смешивания и разделения проб
7.2.1 Для отбора проб, смешивания точечных проб и разделения объединенной пробы на части (лабораторные пробы) применяют оборудование и приспособления, изготовленные из материалов, не реагирующих с цементом.
Не допускается применение оборудования и приспособлений из алюминиевых или оцинкованных материалов. Приспособления должны быть в сухом, чистом виде.
При необходимости применяемое оборудование и места отбора проб должны быть согласованы заинтересованными сторонами до начала отбора проб
7.2.2 Для отбора проб цемента из емкостей, транспортных средств или упаковки применяемое оборудование и приспособления любой конструкции должны обеспечивать:
- отбор проб на заданной глубине слоя цемента или в заданном месте упаковки;
- защиту отобранной пробы от смешивания с цементом вышележащих слоев при ее извлечении из емкости или упаковки.
7.2.3 Для отбора проб цемента из трубопроводов применяемые пробоотборники любой конструкции должны обеспечивать:
- отбор проб равными частями через равные промежутки времени или другие интервалы, установленные технологической документацией, в течение всего срока заполнения или разгрузки емкости или транспортного средства;
- отбор проб по всему сечению трубопровода либо в том месте, где достигается однородность потока по сечению.
Не допускается устанавливать пробоотборники в местах перегиба трубопроводов, а также вблизи мест сброса материала из аспирационных устройств.
7.2.4 Для смешивания точечных и разделения на части объединенной пробы применяют любое оборудование или приспособление, а также процедуры, обеспечивающие однородность материала в объединенной пробе или ее частях.
7.3 Проверка однородности объединенной (лабораторной) пробы
7.3.1 Проверку однородности материала в пробе и по сечению трубопровода осуществляют следующим образом. Из двух противоположных четвертей объединенной пробы, разделенной методом квартования, или из каждой лабораторной пробы, полученной разделением объединенной пробы, или одновременно в двух местах на противоположных концах диаметра в сечении трубопровода отбирают навески цемента массой около 100 г каждая, которые подвергают химическому анализу для определения содержания оксидов кальция, кремния и серы (VI). Пробу признают однородной, если расхождение между результатами химического анализа двух навесок не превышает величину максимальной ошибки воспроизводимости по ГОСТ 5382 по каждому из определяемых показателей. При получении неудовлетворительного результата следует откорректировать процедуру отбора проб до получения однородной пробы.
7.3.2 Проверку однородности цемента по сечению трубопровода осуществляют один раз при выборе места для установки пробоотборника.
7.3.3 Проверку однородности объединенной или лабораторной пробы изготовитель должен осуществлять по мере необходимости, но не реже одного раза в месяц.
7.3.4 При отборе проб для целей проверки качества, инспекционных, сертификационных или других испытаний проверку однородности материала в пробах не осуществляют, если этого не требует одна из сторон, участвующих в отборе пробы.
7.4 Процедура отбора и подготовки проб
7.4.1 Отбор проб цемента, упакованного в мешки, мягкие контейнеры или другую тару, а также из специализированных транспортных средств при перевозке цемента без упаковки производят следующим образом. Методом случайного отбора выбирают не менее пяти единиц упаковок или транспортных средств и из каждой отбирают по одной точечной пробе.
В случае, если контролируемая масса цемента состоит из пяти или менее единиц упаковок или специализированных транспортных средств, пробу примерно одинаковой массы берут от каждой из них.
7.4.2 Из мешков, мягких контейнеров или другой тары пробу берут с глубины не менее 15 см.
Из специализированных транспортных средств при перевозке цемента без упаковки отбор проб производят из потока цемента при его погрузке или разгрузке. Отбор проб может быть также осуществлен через верхний люк с глубины не менее 15 см.
7.4.3 При формировании партии в потоке отбор проб цемента производят от каждой цементной мельницы, работающей в один силос при его наполнении через равные промежутки времени, установленные технологической документацией изготовителя, но не менее пяти раз за время наполнения силоса.
7.4.4 Массу точечных проб определяют таким образом, чтобы масса объединенной пробы, составленной из них, была не менее 20 кг при проверке качества цемента изготовителем, потребителем и органами надзора, и не менее 30 кг при проверке качества цемента в случае предъявления претензий потребителем.
7.4 5 Для приготовления объединенной пробы все точечные пробы, отобранные из одной партии (части партии), соединяют и тщательно перемешивают ручным или механическим способом.
7.4.6 Из объединенной пробы, приготовленной по 7.4.5, получают лабораторные пробы массой около 8 кг каждая в количестве, указанном в 7.4.7 и 7.4.8.
Лабораторные пробы могут быть получены с использованием любых типов делителей проб или следующим образом. Объединенную пробу высыпают на ровную, сухую и чистую поверхность, разравнивают и делят на четыре части взаимно перпендикулярными линиями, проходящими через центр. Последовательно из каждой четверти отбирают совком некоторое количество цемента в емкости для лабораторных проб. Эту процедуру проводят до тех пор, пока в каждой емкости не наберется около 8 кг цемента.
7.4.7 При контроле качества цемента изготовителем из объединенной пробы получают две лабораторные пробы. Одна предназначается для испытаний в лаборатории изготовителя, а вторая хранится у него в течение гарантийного срока на случай необходимости проведения повторных испытаний.
7.4.8 При контроле качества цемента потребителем или органами надзора из объединенной пробы получают две лабораторные пробы. Одну пробу направляют в испытательную лабораторию третьей стороны, другая остается у потребителя или изготовителя.
При контроле качества цемента в случае предъявления потребителем претензии из объединенной пробы получают три лабораторные пробы Одну пробу направляют в испытательную лабораторию третьей стороны и по одной пробе — изготовителю и потребителю.
7.4.9 Каждая лабораторная проба, полученная по 7.4.6, должна быть упакована в соответствии с 7.6 и в течение трех рабочих дней. не считая дня отбора, направлена в соответствующую лабораторию для испытаний.
7.5 Упаковка, маркировка и хранение проб
7.5.1 Упаковка и хранение проб должны обеспечивать сохранность свойств контролируемого цемента. Тара, в которую упаковывают пробы, должна быть чистой, сухой, воздухо- и влагонепроницаемой и изготовлена из материала, инертного по отношению к цементу.
7.5.2 Пробы, предназначенные для испытаний в лаборатории третьей стороны и остающиеся у потребителя или изготовителя, упаковывают в герметичную тару, опечатывают или пломбируют. На тару наносят маркировку со следующей информацией:
- наименование изготовителя;
- наименование и условное обозначение цемента в соответствии с нормативным документом;
- дата и место отбора проб;
- номер партии, дата изготовления.
7.6 Акт отбора проб
7.6.1 При контроле качества цемента потребителем, а также в целях проведения сертификационных испытаний отбор проб оформляют актом согласно приложению Б или В.
7.6.2 При инспекционном контроле акт отбора проб оформляют в соответствии с порядком, установленным органами надзора, с обязательным отражением сведений, приведенных в приложении Б или В.
7.6.3 При контроле качества цемента при предъявлении потребителем претензий акт отбора проб оформляют в соответствии с порядком, установленным документами государственного арбитража или контрактом, с обязательным отражением сведений, приведенных в приложении Б или В.
7.6.4 Один экземпляр акта отбора проб направляют в лабораторию, проводящую испытания, другие экземпляры — заинтересованным организациям.
8 Правила приемки
8.1 Общие положения
8.1.1 Приемку цемента осуществляет служба технического контроля изготовителя. Поставка цемента, не прошедшего приемку, не допускается.
8.1.2 Приемку цемента производят партиями. Объем партии, за исключением отгрузки в судах, не должен превышать вместимости одного силоса. При отгрузке цемента в судах объем партии может превышать вместимость одного силоса. В этом случае объем партии устанавливают по согласованию изготовителя с потребителем.
Отбор и подготовку проб для проведения приемки цемента осуществляют в соответствии с разделом 7.
8.1.3 Служба технического контроля проводит приемку цемента на основании данных производственного контроля и приемосдаточных испытаний.
Производственный контроль осуществляют в объемах и в сроки, установленные действующим у изготовителя технологическим регламентом.
По данным производственного контроля назначают тип и класс прочности (марку) цемента, гарантируемые изготовителем.
Приемосдаточные испытания включают испытания цемента каждой партии по всем показателям качества, предусмотренным нормативным документом на цемент конкретного вида, за исключением величины удельной эффективной активности естественных радионуклидов.
Изготовитель должен проводить периодические испытания цемента каждого вида по показателю удельной эффективной активности естественных радионуклидов не реже одного раза в год, а также каждый раз при изменении сырьевых материалов и добавок или их поставщиков.
Результаты периодических испытаний по величине Аэфф распространяются на все поставляемые партии цемента до проведения следующих периодических испытаний.
8.1.4 Результаты испытаний фиксируют в журнале по форме приложения Г. Журнал приемосдаточных испытаний должен быть пронумерован, прошнурован и опечатан печатью изготовителя. Журнал является официальным документом изготовителя, удостоверяющим качество продукции.
8.2 Приемка
8.2.1 Партия цемента может быть принята и поставлена, если результаты испытаний по всем показателям соответствуют требованиям нормативного документа, если иное в части рекомендуемых показателей не предусмотрено договором (контрактом) на поставку цемента.
8.2.2 В случае обнаружения при приемосдаточных испытаниях цемента малозначительного дефекта, не превышающего по величине предельного значения, указанного в таблице 2, партию принимают, но учитывают ее как дефектную при оценке общего уровня качества. Общее количество партий с малозначительными дефектами, принятых в течение квартала, не должно быть более 5 % общего количества партий данного вида (типа) цемента, поставленных за этот период.
В нормативных документах на цементы конкретных видов перечень малозначительных дефектов может быть изменен с учетом требований к этим цементам.
Таблица 2
| Наименование показателя |
Малозначительный дефект — предельное отклонение от требований нормативного документа, не более чем на |
| Прочность на сжатие (нижний предел), МПа, в возрасте: |
|
| 28 сут. |
- 2,5 |
| 2(7)сут |
- 2,0 |
| Начало схватывания, мин, для цементов: |
|
| нормальносхватывающихся |
± 10,0 |
| быстросхватывающихся |
+ 5,0 |
| Равномерность изменения объема (по методу Ле-Шателье), мм |
+ 1,0 |
| Содержание оксида серы (VI) S0з, % |
+ 0,5 |
| Содержание хлор-иона Сl-, % |
+ 0,01 |
8.2.3 Приемку и поставку партии цемента проводят до окончания испытаний на прочность. Если после завершения испытаний на прочность будет установлен значительный дефект, данная партия цемента считается не соответствующей требованиям нормативного документа по классу прочности (марке). При этом изготовитель обязан снизить класс прочности (марку) цемента либо изменить его наименование (при несоответствии прочности в возрасте 2 сут), о чем в трехдневный срок должен быть уведомлен потребитель.
8.2.4 Каждая партия цемента или ее часть, поставляемая в один адрес, должна сопровождаться документом о качестве, в котором указывают:
- наименование изготовителя, его товарный знак и адрес;
- наименование и (или) условное обозначение цемента по нормативному документу;
- номер партии и дату отгрузки;
- вид и количество минеральной добавки в цементе;
- класс прочности (марку) цемента;
- нормальную густоту цементного теста (для общестроительных цементов);
- среднюю активность цемента при пропаривании за предыдущий месяц (для общестроительных цементов);
- значение удельной эффективной активности естественных радионуклидов в цементе по результатам периодических испытаний;
- номера вагонов или наименование судна;
- гарантийный срок соответствия цемента требованиям нормативного документа, сут;
- знак соответствия при поставке сертифицированного цемента (если это предусмотрено системой сертификации);
- обозначение нормативного документа.
Если цемент обладает признаками ложного схватывания, то это должно быть указано в документе о качестве.
Перечень показателей, приводимых в документе о качестве, может быть дополнен или изменен в соответствии с требованиями нормативного документа на цемент конкретного вида.
Форма документа о качестве приведена в приложении Д.
8.2.5 Документ о качестве должен быть отмечен знаком контроля изготовителя, подписан руководителем службы технического контроля или его заместителем и выслан потребителю одновременно с цементом или не позднее трех суток, не считая даты отгрузки цемента.
8.2.6 По требованию потребителя изготовитель обязан сообщать ему результаты всех приемосдаточных испытаний данной партии цемента.
8.2.7 Допускается осуществлять приемку цемента в потоке по методике, приведенной в приложении Е.
8.3 Оценка уровня качества
8.3.1 С целью подтверждения стабильности качества выпускаемой продукции, а также возможности ее сертификации изготовитель должен проводить оценку уровня качества продукции.
8.3.2 Оценку уровня качества цемента по типам (видам) и классам прочности (маркам) проводят по каждому показателю по данным производственного контроля и приемосдаточных испытаний статистическими методами:
- оценка по переменным — применяется при оценке качества по показателям прочности и содержания оксида серы (VI);
- оценка по числу дефектных проб — применяется при оценке качества по всем показателям, кроме прочности и содержания оксида серы (VI).
8.3.3 Для оценки уровня качества цемента из журналов испытаний берут подряд результаты испытаний по каждому показателю за период от 6 до 12 месяцев, предшествующих оценке. Последующую оценку уровня качества проводят через один месяц после предыдущей, принимая такую же длительность периода оценки.
8.3.4 При оценке по переменным (приложение Ж) критериями соответствия являются неравенства:
Zн ≥ Мни (или) Zв ≤ Мв; (1)
где Мн,в — нижнее (верхнее) допустимое значение показателя по нормативному документу;
Zн,в — нижняя (верхняя) доверительная граница, рассчитанная по формуле (Ж.3) или (Ж.4) соответственно.
8.3.5 При оценке по числу дефектных проб их число не должно превышать приемочного числа, указанного в таблице 3. При этом критерием соответствия является неравенство:
Сд ≤ Са (2)
где Сд — число дефектных проб;
Сд — приемочное число (предельно допустимое число дефектных проб).
Таблица 3
| Число испытаний |
Приемочное число СА |
До 39 включ.
Св. 39 до 54 включ.
» 54 » 69 »
» 69 » 84 »
» 84 » 99 »
» 99 |
0
1
2
3
4
5 |
8.3.6 Учет дефектных проб ведут раздельно по каждому показателю качества, включая значительные и малозначительные дефекты.
8.3.7 Если условия 8.3.4 и 8.3.5 выполняются, уровень качества цемента данного вида, типа, класса прочности (марки) считается обеспеченным.
8.3.8 Если условия 8.3.4 и 8.3.5 не выполняются, уровень качества цемента данного вида, типа, класса прочности (марки) считается неудовлетворительным, и изготовитель обязан принять меры по повышению качества продукции.
8.3.9 Сертификацию продукции на соответствие нормативному документу осуществляют только при положительных результатах оценки уровня качества цемента.
8.3.10 Результаты оценки уровня качества цемента заносят в журнал приемосдаточных испытаний в произвольной форме.
8.4 Контроль качества цемента потребителем и органами надзора
8.4.1 При контроле качества цемента потребителем, органами надзора и в случае предъявления потребителем претензий контрольные испытания цемента следует проводить в испытательных лабораториях, аккредитованных для проведения сертификационных испытаний цемента, и других организациях, уполномоченных для этих целей органом государственного управления строительством.
С согласия представителей органов надзора, проверяющих качество цемента, контрольные испытания могут быть проведены в лаборатории изготовителя.
8.4.2 При контроле качества цемента потребителем и органами надзора следует соблюдать порядок отбора проб и применять методы испытаний в соответствии с разделами 7 и 9.
8.4.3 Контрольные испытания цемента по всем показателям, кроме прочности, должны быть выполнены, а испытания на прочность начаты не позднее истечения гарантийного срока, установленного нормативным документом на цемент конкретного вида.
8.4.4 При контроле качества цемента органами надзора результаты контрольных испытаний данной партии считают удовлетворительными, если они по всем обязательным показателям качества соответствуют требованиям нормативного документа для цемента данного вида, типа, класса прочности (марки).
8.4.5 При контроле качества цемента потребителем результаты контрольных испытаний данной партии считают удовлетворительными, если они по всем показателям качества соответствуют требованиям нормативного документа для цемента данного вида, типа, класса прочности (марки), если иное в части рекомендуемых показателей не предусмотрено договором (контрактом) на поставку цемента.
9 Методы контроля
9.1 Физико-механические свойства цементов определяют по стандартам и аттестованным методикам, предусмотренным в нормативных документах на цемент конкретного вида или группу конкретной продукции.
9.2 Химический анализ клинкера и цементов — по ГОСТ 5382.
9.3 Удельную эффективную активность естественных радионуклидов в цементах определяют по ГОСТ 30108.
10 Транспортирование и хранение 10.1 Транспортирование
10.1.1 Цемент транспортируют всеми видами транспорта с соблюдением Правил перевозок грузов, установленных для транспорта данного вида, и требований другой документации, утвержденной в установленном порядке.
10.1.2 Цемент без упаковки транспортируют в специализированных вагонах-цементовозах, автоцементовозах и судах.
10.1.3 Цемент в упаковке транспортируют в универсальных транспортных средствах (крытых вагонах, автомобилях и судах) транспортными пакетами, в контейнерах или поштучно (мешками).
10.1.4 Цемент в мелкой расфасовке транспортируют в крытых вагонах или автомобильным транспортом в специальных емкостях.
10.1.5 Транспортирование цемента пакетами в термоусадочной пленке железнодорожным транспортом осуществляют в соответствии с Техническими условиями на размещение и крепление пакетов, сформированных из мешков цемента с использованием термоусадочной пленки, в четырехосных полувагонах.
10.1.6 Транспортные пакеты формируют с применением плоских поддонов по ГОСТ 9078, термоусадочной полиэтиленовой пленки по ГОСТ 25951 или других средств пакетирования по соответствующим нормативным документам.
10.1.7 Пакеты в термоусадочной пленке должны быть герметичны и плотно обжаты пленкой со всех сторон. Габариты пакета должны быть следующими: длина — 1260—1290 мм, ширина — 1030—1060 мм, высота — 880 — 950 мм. Ширина проема на уступе цокольной части должна быть не менее 100 мм с каждой стороны пакета, высота — не менее 90 мм.
Масса пакета нетто — не более 2000 кг.
10.1.8 Цемент в мягких контейнерах транспортируют железнодорожным транспортом в полувагонах или на платформах; в судах в трюме или на открытой палубе; в бортовых автомобилях.
10.1.9 Контейнеры, применяемые для транспортирования цемента, должны соответствовать требованиям нормативных документов на них.
10.1.10 Изготовитель обязан поставлять цемент в исправном и очищенном транспортном средстве.
10.1.11 При транспортировании цемента без упаковки или в мешках он должен быть защищен от воздействия влаги и загрязнения.
10.2 Хранение
10.2.1 Цемент должен храниться раздельно по типам (видам) и классам прочности (маркам): в неупакованном виде — в силосах или других закрытых емкостях, а цемент в упаковке — в сухих помещениях.
Смешивание цементов различных типов (видов) и классов прочности (марок), а также загрязнение его посторонними примесями и увлажнение не допускаются.
Не допускается хранить цемент без упаковки в складах амбарного типа.
10.2.2 При хранении мешки с цементом укладывают вплотную на поддоны в штабели по высоте не более 1,8 м с обеспечением свободного подхода к ним.
10.2.3 Допускается хранение цемента в мягких контейнерах и пакетах, изготовленных с применением водонепроницаемых материалов, под навесом или на открытых площадках при условии целостности водонепроницаемой упаковки.
Для предотвращения примерзания мягких контейнеров и пакетов их следует укладывать на поддоны в штабели высотой не более трех ярусов.
ПРИЛОЖЕНИЕ А
(обязательное)
Термины и определения
| Термин |
Определение |
| 1 Общие понятия |
|
Цемент
Общестроительный цемент
Специальный цемент
Вещественный состав це
мента
Основные компоненты це
мента
Вспомогательные компо
ненты цемента
Портландцемент
Глиноземистый (высокогли-
ноземистый) цемент
Сульфоалюминатный (-фер-
ритный) цемент
Тонкость помола цемента
Затворение цемента
Водоцементное отношение
(сокращенно В/Ц)
Цементно-водное отноше
ние (сокращенно Ц/В)
Цементное тесто
Цементный раствор
Нормальная густота цемен
тного теста
Водопотребность цемента
Стандартный песок
Стандартный цементный
раствор
Гидратация цемента
Схватывание цемента
Сроки схватывания цемента
Ложное схватывание цемента
Твердение цементного теста
Цементный камень
Класс прочности цемента
Активность цемента
Гидравлические свойства
Пуццоланические свойства
Гидрофобизация цемента
Пластификация цемента
|
Порошкообразный строительный вяжущий
материал, который обладает гидравлически
ми свойствами, состоит из клинкера и, при
необходимости, гипса или его производных
и добавок
Цемент, основным требованием к которому
является обеспечение прочности и долговеч
ности бетонов или растворов
Цемент, к которому наряду с формировани
ем прочности предъявляют специальные тре
бования
Содержание основных компонентов в цемен
те, выражаемое в процентах его массы
Клинкер, гипс или его производные, а также
минеральные добавки, содержание которых
в цементе составляет свыше 5 % массы
Минеральные добавки, содержание которых
в цементе не более 5 % массы
Цемент, полученный на основе портландце-
ментного клинкера
Цемент, полученный на основе глиноземис
того (высокоглиноземистого) клинкера
Цемент, полученный на основе сульфоалю-
минатного (-ферритного) клинкера
Характеристика дисперсности цемента, кото
рая может быть выражена массовой долей ос
татка (прохода) на одном или нескольких кон
трольных ситах или величиной удельной по
верхности
Смешивание цемента с водой
Отношение массы воды затворения к массе
цемента
Величина, обратная водоцементному отноше
нию
Однородная пластичная смесь цемента с во
дой
Однородная смесь цемента, кварцевого пес
ка и воды в любых соотношениях
Водоцементное отношение в процентах, при
котором достигается нормированная консис
тенция цементного теста
Водоцементное отношение, при котором до
стигается нормированная подвижность стан
дартного цементного раствора
Кварцевый природный песок с нормирован
ным зерновым и химическим составом, пред
назначенный для испытаний цемента
Однородная смесь цемента, стандартного пес
ка и воды в нормированном соотношении
Химическое взаимодействие цемента с водой
с образованием кристаллогидратов
Необратимая потеря подвижности цементным тестом в результате гидратации
Время начала и конца схватывания цементного теста, определяемое в нормированных условиях
Преждевременная частичная или полная потеря подвижности цементным тестом, устраняемая с помощью механического воздействия
Процесс формирования прочной структуры цементного камня
Материал, образующийся в результате гидратации и твердения цемента
Условное обозначение одного из значений параметрического ряда по прочности в максимальные сроки, установленные нормативным документом
Фактическая прочность на сжатие образцов из стандартного цементного раствора, изготовленных и испытанных в стандартных условиях, установленных нормативным документом
Способность тонкоизмельченного материала, затворенного водой, после предварительного твердения на воздухе или без него продолжать твердеть в воде и на воздухе
Примечание — Термин относится к цементам и минеральным добавкам к нему
Способность тонкоизмельченного материала в присутствии извести проявлять гидравлические свойства
Повышение устойчивости цемента к воздей
ствию влаги воздуха путем введения специ
альных добавок, гидрофобизирующих повер
хность зерен цемента
Снижение водопотребности цемента путем
введения специальных добавок |
| 2 Компоненты вещественного состава и их характеристика |
Цементный клинкер
(Клинкер)
Портландцементный клин
кер
Сульфоалюминатный (-ферритный) клинкер
Глиноземистый (высокоглиноземистый) клинкер
Клинкерный минерал
Клинкерная фаза
Минералогический состав
клинкера
Клинкер нормированного
состава
Фазовый состав клинкера
Минеральная добавка к це
менту
Активная минеральная до
бавка к цементу
Гидравлическая добавка к
цементу
Пуццолановая добавка
(Пуццолана)
Добавка-наполнитель к це
менту
Композиционная добавка к
цементу
Специальная добавка к це
менту
Технологическая добавка к
цементу
|
Продукт, получаемый обжигом до спекания
или плавления сырьевой смеси надлежащего
состава и содержащий, главным образом,
высокоосновные силикаты и (или) высоко-
или низкоосновные алюминаты кальция
Клинкер, состоящий преимущественно из
высокоосновных силикатов кальция, а также
алюминатов и алюмоферритов кальция
Клинкер, состоящий преимущественно из сульфоалюминатов (-ферритов) кальция
Клинкер, состоящий преимущественно из низкоосновных алюминатов кальция
Искусственное соединение стехиометричес-
кого состава, представляющее собой кристал-
лохимическую основу клинкерных фаз
Составляющая часть клинкера в виде твер
дых растворов на основе клинкерных мине
ралов, отдельных оксидов или стекла
Содержание основных клинкерных минера
лов, определяемое расчетным путем на осно
ве данных химического анализа
Клинкер, к минералогическому составу ко
торого установлены требования нормативным
документом
Содержание основных клинкерных фаз, оп
ределяемое физико-химическими методами
анализа
Материал, вводимый в цемент с целью до
стижения определенных показателей качест
ва и (или) экономии топливо-энергетических
ресурсов
Минеральная добавка к цементу, которая в
тонкоизмельченном состоянии обладает гид
равлическими или пуццоланическими свой
ствами
Активная минеральная добавка к цементу,
обладающая гидравлическими свойствами
Активная минеральная добавка к цементу,
обладающая пуццоланическими свойствами
Минеральная добавка к цементу, которая в
тонкоизмельченном состоянии является
инертной или имеет слабые гидравлические
или пуццоланические свойства
Добавка, состоящая из смеси двух и более
минеральных добавок
Добавка к цементу, вводимая для придания
ему специальных свойств или регулирования
отдельных показателей качества
Добавка к цементу, вводимая для улучшения
процесса помола и (или) для облегчения тран
спортировки цемента по трубопроводам |
| 3 Свойства цемента |
Строительно-технические
свойства цемента
Равномерность изменения
объема цемента
Тепловыделение цемента
Водоотделение цемента
Самонапряжение цемента
Расширение цемента
Усадка цемента
Тампонажно-технические
свойства цемента
Коррозиестоикость цемента
Сульфатостойкость цемента
Морозостойкость цемента
|
Совокупность свойств цемента, характеризу
ющих его способность образовывать в резуль
тате твердения прочный и долговечный це
ментный камень
Свойство цемента в процессе твердения об
разовывать цементный камень, деформация
которого не превышает значений, установ
ленных нормативным документом
Количество теплоты, выделяемое при гидра
тации цемента
Количество воды, отделившейся при рассло
ении цементного теста вследствие осаждения
частиц цемента
Способность цементного камня напрягать
заложенную в него арматуру
Увеличение линейных размеров цементного
камня при твердении
Уменьшение линейных размеров цементно
го камня при твердении
Совокупность свойств цемента, характеризу
ющих его пригодность для тампонирования
скважин
Способность цементного камня противосто
ять химическому и физическому воздействию
агрессивной среды
Способность цементного камня противосто
ять разрушающему действию водных сред,
содержащих сульфат-ионы
Способность цементного камня противосто
ять многократному попеременному замора
живанию и оттаиванию |
| 4 Оценка качества |
Уровень качества цемента
Производственный кон
троль цемента
Приемочный контроль
Контрольные испытания
цемента
Партия цемента
Приемосдаточные испыта
ния
Дефект
Значительный дефект
Малозначительный дефект
Проба цемента
Точечная проба цемента
Объединенная проба цемен
та
Лабораторная проба цемен
та
Контрольная карта средних
арифметических
Граница регулирования
Предупреждающая граница
|
Степень соответствия цемента требованиям
нормативного документа, определяемая по
установленной процедуре
Контроль, осуществляемый на стадии про
изводства и включающий испытания сырья,
клинкера и цемента, проводимый в объеме и
в сроки, установленные действующей у изго
товителя технологической документации
Контроль продукции, по результатам кото
рого принимается решение о ее пригоднос
ти к поставкам и (или) использованию
(ГОСТ 16504)
Испытания, проводимые для контроля качес
тва цемента с целью определения его соот
ветствия установленным требованиям
Определенное количество цемента одного
типа (вида) и класса прочности (марки), из
готовленное одним предприятием по одной
технологии в одинаковых условиях, одно
временно предъявленное к приемке и офор
мленное одним документом о качестве
Контрольные испытания продукции при при
емочном контроле (ГОСТ 16504)
Каждое отдельное несоответствие продукции
установленным требованиям (ГОСТ 15467)
Дефект, который существенно влияет на воз
можность использования продукции по пря
мому назначению и (или) на ее долговечность,
но не является критическим (ГОСТ 15457)
Дефект, который существенно не влияет на
использование продукции по назначению и
ее долговечность (ГОСТ 15467)
Количество цемента, отобранное от контро
лируемой партии (части партии) для прове
дения испытаний
Проба цемента, взятая из одного места за одну
операцию
Проба цемента, образованная путем тщатель
ного смешивания всех точечных проб, отно
сящихся к партии (части партии)
Часть объединенной пробы, предназначенная
для проведения испытаний
Контрольная карта, на которую наносят зна
чения выборочного среднеарифметического
параметра (ГОСТ 15895)
Линия на контрольной карте, используемая
в качестве критерия для принятия решения
относительно технологического процесса
(ГОСТ 15895)
Линия на контрольной карте, под (верхней),
над (нижней) границей регулирования или
между ними при статистически управляемом
технологическом процессе (ГОСТ 15895) |
ПРИЛОЖЕНИЕ Б
(обязательное)
Форма акта отбора проб у изготовителя
АКТ
отбора проб от «__»________ 199_г.
Комиссией в составе: председателя________________________________
(фамилия, инициалы, должность,
____________________________________________________________________________
организация)
и членов______________________________________________________
(фамилия, инициалы, должность, организация)
в присутствии _________________________________________________
(фамилия, инициалы, должность, организация)
на___________________________________________________________
(наименование изготовителя, адрес)
отобрана проба цемента, принятого службой технического контроля изготовителя, для проведения ____________________________________
(вид испытаний: контрольные, сертификационные и др.)
на соответствие требованиям_____________________________________
(обозначение и наименование НД)
Наименова ние цемента по норматив
ному доку менту, тип(вид), класс (марка) |
Вид и содержание добавок, % (по
результатам приемочного контроля) |
Информация о партии(номер партии, объем
партии, дата изготовле ния) |
Информация о пробе |
Наименование и адрес организации, куда направ
ляют лабораторную пробу и акт отбора проб |
| объединенная проба |
лабораторная проба |
| масса, кг, место отбора точечных проб |
масса, кг, количество проб |
способ упаковки |
Председатель комиссии ________________
(фамилия, инициалы)
Члены комиссии: ________________
(фамилия, инициалы)
ПРИЛОЖЕНИЕ В
(обязательное)
Форма акта отбора проб в любой организации, кроме изготовителя
АКТ
отбора проб от «__»________ 199_г.
Комиссией в составе: председателя________________________________
(фамилия, инициалы, должность,
____________________________________________________________________________
организация)
и членов______________________________________________________
(фамилия, инициалы, должность, организация)
в присутствии _________________________________________________
(фамилия, инициалы, должность, организация)
на___________________________________________________________
(наименование организации, где отобрана проба)
отобрана проба цемента_______________________________________________
(наименование цемента, тип (вид).
____________________________________________________________________
класс (марка), изготовитель)
для проверки на соответствие требованиям____________________________
(обозначение и наименование НД)
| Вид транспортных средств |
Номер транспортных средств |
Номер партии цемента, дата
отгрузки или изготовления |
Информация о пробе |
Наименование и адрес организации, куда направ
ляют лабораторную пробу и акт отбора проб |
| объединенная проба |
лабораторная проба |
| масса, кг, место отбора точечных проб |
масса, кг, количество проб |
способ упаковки |
Председатель комиссии ________________
(фамилия, инициалы)
Члены комиссии: _________________
(фамилия, инициалы)
ПРИЛОЖЕНИЕ Г
(рекомендуемое)
Форма журнала приемосдаточных испытаний
Номер
партии |
Объем
партии, т |
Тип (вид)
цемента |
Класс
прочности
(марка)
цемента |
Сроки
изготовления
партии
(дата, смена) |
Номер
силоса |
Значение
показателей
качества* |
Отметка о
приемке
партии |
Подпись
должностного
лица** |
| начало |
конец |
|
|
|
|
|
дата |
решение о
приёмке |
| |
|
|
|
|
|
|
|
|
* Указывают результаты испытаний по всем показателям качества, предусмотренным нормативным документом на цемент конкретного вида
** Подпись руководителя службы технического контроля или его заместителя |
ПРИЛОЖЕНИЕ Д
(рекомендуе мое)
Форма документа о качестве
__________________________ _________________________
(товарный знак изготовителя) (наименование и адрес изготовителя)
________________________________________
(обозначение цемента по НД, номер сертификата
соответствия для сертифицированного цемента)
ПАРТИЯ №_________
Отгружена ____________________________________________________
(дата отгрузки, номера вагонов или наименование судна)
Класс прочности (марка) _______________________________________
Добавки ______________________________________________________
(вид, количество)
Нормальная густота цементного теста _____________________________
Признаки ложного схватывания __________________________________
(есть, нет)
Средняя активность при пропаривании ____________________________
Группа эффективности пропаривания _____________________________
Значение удельной эффективной активности естественных радионуклидов_________________________________________________
Гарантийный срок,сут __________________________________________
____________________
(знак контроля)
Примечание — В приведенной форме документа о качестве укаэаны показатели для цементов по ГОСТ 10178. Для других цементов должны быть указаны показатели в соответствии с требованиями 8.2.4.
ПРИЛОЖЕНИЕ Е
(обязательное)
Приемка цемента в потоке
Е.1 Общие положения
E.I.I В основу метода непрерывной приемки цемента в потоке положен расчет и анализ текущих средних (средних арифметических) значений всех показателей качества, установленных нормативным документом, для принятия решения о приемке партии цемента.
Е.1.2 Цемент текущей выработки может быть принят и разрешен к поставке, если его качество признано удовлетворительным одновременно по всем контролируемым показателям качества, установленным нормативным документом.
Е.1.3 Конкретный порядок осуществления контроля производства и приемки цемента в потоке устанавливают в технологическом регламенте.
Е.1.4 При приемке цемента в потоке результаты производственного контроля и значения всех рассчитанных величин, предусмотренных настоящей методикой, фиксируются в журнале.
Е.1.5 Правила для принятия решения о приемке цемента в потоке
Е.1.5.1 Если по всем показателям, по которым согласно нормативному документу осуществляют приемку партии цемента, текущее среднее находится внутри предупреждающих границ, технологический процесс считается устойчивым, а цемент текущей выработки принимают и разрешают к поставке.
Е.1.5.2 Если по какому-либо из показателей текущее среднее выходит за пределы предупреждающих границ, но остается внутри границ регулирования, цемент текущей выработки принимают и разрешают к поставке, но одновременно принимают меры для регулирования технологического процесса с целью возвращения текущего среднего в предупреждающие границы.
Е.1.5.3 Если по какому-либо показателю текущее среднее выходит за пределы границ регулирования, приемку продукции приостанавливают до устранения нарушений технологического процесса.
Е.1.5.4 Если по нормативному документу для показателя регламентируется только верхнее (нижнее) значение, то в случае, предусмотренном Е.1.5.3, приемку приостанавливают только при нарушении соответствующей границы регулирования. При нарушении другой границы регулирования, приемку цемента в потоке продолжают, но одновременно принимают меры для возвращения текущего среднего в предупреждающие границы.
Е.2 Порядок проведения приемки цемента в потоке
E.2.I Расчет текущего среднего
Текущее среднее рассчитывают отдельно по каждому показателю, контролируемому при приемке цемента.
Для расчета текущего среднего используют 4—8 последних результатов испытаний производственного контроля. Текущее среднее вычисляют по формуле:
(E.1)
где Xi — результат отдельного испытания контролируемого показателя;
n — число результатов испытаний, принятое для расчета текущего среднего ( 4 ≤ п ≤ 8 )
После получения очередного результата испытания расчет текущего среднего повторяют, отбрасывая первый результат из использованных в предыдущем расчете и добавляя вновь полученный.
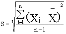
Е.2.2 Расчет среднего квадратического отклонения По данным производственного контроля за предшествующий период, но не менее, чем за один месяц, рассчитывают среднее квадратическое отклонение для каждого показателя, контролируемого при приемке цемента. Среднее квадратическое отклонение S вычисляют по формуле:
(E.2)
где — среднее значение результатов испытаний контролируемого
показателя за весь период, принятый для расчетов;
Хi — результат отдельного испытания;
n — число результатов испытаний, используемых для расчета (необходимое условие п > 120 ).
Для упрощения вычисления среднего квадратического отклонения можно использовать также формулу:
(E.3)
где — средний размах;
dn — коэффициент, зависящий от числа значений в группе.
Для расчета среднего размаха поступают следующим образом. Все значения результатов испытаний контролируемого показателя, полученные в течение расчетного периода, разбивают на группы по 2—8 значений с одинаковым числом значений в группе. В каждой группе определяют размах R как разность между наибольшим и наименьшим значениями результатов испытаний в данной группе.
Средний размах вычисляют по формуле:
(E.4)
где Ri — значение отдельного размаха;
n — число групп.
Значения коэффициента dn приведены в таблице Е. 1
Таблица Е.1
| Число значений в группе |
2 |
3 |
4 |
5 |
6 |
7 |
8 |
| dn |
1,128 |
1,693 |
2,059 |
2,236 |
2,534 |
2,704 |
2,840 |
Е.2.3 Расчет предупреждающих границ и границ регулирования
Предупреждающие границы и границы регулирования рассчитывают отдельно по каждому показателю, контролируемому при приемке цемента.
Предупреждающие границы ГП (в,н) и границы регулирования ГР (в,н) вычисляют по формулам:
(E.5)
(E.6)
где а — норматив контролируемого показателя, установленный технологическим регламентом;
S — среднее квадратическое отклонение, вычисленное по формулам (Е.2) или (Е.3);
n — число результатов испытаний, используемых для расчета текущего среднего по формуле (Е.1).
Примечание — Если рассчитанные предупреждающие границы по какому-либо показателю качества не удовлетворяют требованиям нормативного документа, необходимо принять меры для повышения стабильности производства по этому показателю или соответствующим образом изменить норматив в технологическом регламенте
Е.2.4 Обработка результатов
По рассчитанным значениям предупреждающих границ и границ регулирования, нормативам (требованиям) по стандарту (Тв.н) и технологическому регламенту (а) строят контрольные карты отдельно по каждому показателю, контролируемому при приемке цемента в потоке.
На контрольную карту наносят значения текущих средних. По расположению текущих средних относительно предупреждающих границ и границ регулирования (рисунки Е.1-Е.3) согласно Е.1.5 принимают решение о приемке цемента в потоке.
Пример приемки цемента в потоке по содержанию оксида серы (VI) SO3
Согласно технологическому регламенту содержание SO3 в цементе определяют два раза в смену (через 4 ч). Результаты определения содержания SO3 приведены в таблице Е.2.
.jpg)
Рисунок Е.1 — Текущее среднее находится внутри предупреждающих границ
.jpg)
Рисунок Е.2 — Текущее среднее находится за пределами предупреждающих границ, но остается внутри границы регулирования
.jpg)
Рисунок Е.3 — Текущее среднее выходит за пределы верхней границы регулирования
| Дата, смена |
Время отбора проб,ч |
Содержание SO3,в пробе, % |
Размах в группе Ri, % |
| 01.03.97 |
I |
4-8 |
2,13 |
1,86 |
0,27 |
| |
II |
12-16 |
1,44 |
2,70 |
1,26 |
| |
III |
20-24 |
2,06 |
1,18 |
1,88 |
| 02.03.97 |
I |
4-8 |
1,90 |
2,77 |
0,87 |
| |
II |
12-16 |
2,15 |
2,80 |
0,65 |
| |
III |
20-24 |
2,60 |
2,08 |
0,52 |
| 31.03.97 |
III |
20-24 |
2,40 |
3,00 |
0,60 |
| Примечание — Приведены только начало и конец таблицы |
Текущее среднее по содержанию SO3 в цементе вычисляют по шести последним значениям результатов определений (п = 6). Текущее среднее, рассчитанное по формуле (Е.1), равно:
= (2,13+1,86+1,44+2,70+2,06+1,18) : 6 = 1,89 %,
= (1,86+1,44+2,70+2,06+1,18+1,90) : 6 = 1,86 %,
= (1,44+2,70+2,06+1,18+1,90+2,77) : 6 = 2,01 % и т.д.
Среднее квадратическое отклонение по содержанию SO3 в цементе вычисляют по формуле (Е.3). Берут 126 результатов определений за предшествующие, примерно, два месяца. Для расчета среднего размаха число значений в группе принимают равным двум результатам определений в смену, получаем 63 группы.
Средний размах вычисляют по формуле (Е.4), используя значения размаха каждой группы, приведенные в таблице Е.2.
= (0,27+1,26+0,88+0,87+0,65+0,52+...+0,60):б3 = 0,81 %.
Поскольку группы состоят из двух значений, из таблицы Е.1 берут значение dn =1,128, тогда среднее квадратическое отклонение, вычисленное по формуле (Е.3), равно
.gif)
Предупреждающие границы и границы регулирования (верхние и нижние) вычисляют по формулам (Е.5) и (Е.6). Норматив по содержанию SO3 (а) берут равным 2,5 % согласно технологическому регламенту.




По полученным значениям предупреждающих границ и границ регулирования, нормативам по содержанию SO3 в цементе, установленным в стандарте (Тв ≤ 3,5 %; Тн ≥ 1,5 %) и технологическом регламенте, строят контрольную карту, на которую наносят значения текущих средних по содержанию SO3 в цементе и по их расположению согласно Е.1.5 принимают решение о приемке цемента.
.jpg)
Рисунок Е.4 — Расположение текущих средних по содержанию SO3, в цементе
Заключение —- Текущее среднее по содержанию SO3 в некоторых случаях выходит за пределы предупреждающих границ, но остается внутри границ регулирования. Цемент принимают и разрешают к поставке, но необходимо принять меры для регулирования технологического процесса (подачу гипсового камня) с целью возвращения текущего среднего по содержанию SO3 в предупреждающие границы.
ПРИЛОЖЕНИЕ Ж
(обязательное)
Оценка уровня качества цемента по переменным
Ж.1 Результаты испытаний для расчетов берут согласно 8.3.3.
Ж.2 Среднее значение X результатов испытаний вычисляют по формуле:
(Ж.1)
где Xi — результат отдельного испытания;
n — число испытаний.
Ж.3 Среднее квадратическое отклонение S вычисляют по формуле:
(Ж.2)
Ж.4 Нижнюю доверительную границу Zн значения показателя вычисляют по формуле:
Zн = - KS (Ж.3)
Ж. 5 Верхнюю доверительную границу Zв значения показателя вычисляют по формуле:
Zв = + KS (Ж.4)
где К — коэффициент соответствия в формулах (Ж.3) и (Ж.4), зависящий от числа испытаний и заданной доверительной вероятности Р, берут из таблицы Ж. 1. Для нижнего предела прочности во все сроки твердения принимают Р = 95 %, а для верхнего предела прочности в возрасте 28 сут и содержания оксида серы (VI) SO3 принимают Р = 90 %.
Таблица Ж.1
| Число испытаний n |
Значение коэффициента соответствия К при доверительной вероятности |
| Р=95 % |
Р=90% |
20-29
30-39
40-49
50-59
60-79
80-99
100-149
150-199
200 и более |
2,40
2,22
2,13
2,07
2,02
1,97
1,93
1,87
1,84 |
1,93
1,78
1,70
1,65
1,61
1,56
1,53
1,48
1,45 |
Примеры расчета доверительных границ
1 Расчет нижней доверительной границы Zн прочности в возрасте 2 сут для быстротвердеющего цемента класса 32,5 Б с нормируемой стандартом прочностью в этом возрасте Тн = 14,0 МПа при испытании по ГОСТ 310.4.
Среднее значение результатов испытаний X вычисляют по формуле (Ж.1)
= (18,6 + 16,7 + 19,0 + ... + 18,3 + 19,0) : 50 = 18,2 МПа.
Среднее квадратическое отклонение вычисляют по формуле (Ж.2)

Результаты испытаний
Номер
партии |
Xi ,МПа |
Номер
партии |
Xi ,МПа |
Номер
партии |
Xi ,МПа |
1
2
3
4
5
6
7
8
9
10
11
12
13
14
15
16
17 |
18,6
16,7
19,0
18,3
19,2
17,7
19,0
17,0
17,3
18,3
19,2
18,3
18,1
17,6
19,1
19,0
17,6 |
18
19
20
21
22
23
24
25
26
27
28
29
30
31
32
33
34 |
19,9
17,8
19,4
17,3
19,7
18,3
18,6
16,7
18,3
17,3
18,7
19,0
18,3
18,5
18,0
19,6
16,7 |
35
36
37
38
39
40
41
42
43
44
45
46
47
48
49
50
|
17,4
17,2
18,3
18,7
18,6
17,5
17,4
17,3
18,8
19,7
18,7
17,5
16,3
17,1
18,3
19,0
|
Нижнюю доверительную границу Zн значения прочности в возрасте 2 сут вычисляют по формуле (Ж.3). Значение коэффициента К берут из таблицы Ж.1 при п = 50, Р = 95 %. К= 2,07.
Zн = 18,2 - 2,07 • 0,89 = 16,4 МПа.
По формуле (1) оценивают соответствие цемента требованию нормативного документа по прочности в возрасте 2 сут, т.е.
16,4 МПа > 14,0 МПа.
Заключение — Уровень качества быстротвердеющего цемента по прочности в возрасте 2 сут удовлетворяет требованию стандарта к цементам с повышенной ранней прочностью класса прочности 32,5Б.
2 Расчет нижней доверительной границы прочности Zн в возрасте 28 сут для цемента класса прочности 42,5 с нормируемой стандартом прочностью Тн = 48,0 МПа при испытании по ГОСТ 310.4.
Результаты испытаний
Номер
партии |
Xi ,МПа |
Номер
партии |
Xi ,МПа |
Номер
партии |
Xi ,МПа |
1
2
3
4
5
6
7
8
9
10
11
12
13
14
15
16
17
18
19 |
48,0
49,8
48,7
51,0
50,4
48,1
50,0
51,2
50,3
49,0
50,3
51,2
49,2
48,4
45,5
50,1
49,0
49,2
50,1 |
20
21
22
23
24
25
26
27
28
29
30
31
32
33
34
35
36
37
38 |
52,1
50,4
48,1
50,2
50,3
49,4
49,9
49,8
48,7
49,7
49,8
49,7
48,7
50,8
49,7
50,2
49,4
50,7
49,5 |
39
40
41
42
43
44
45
46
47
48
49
50
51
52
53
54
55
|
50,9
48,9
50,1
50,9
49,5
48,1
48,5
48,0
48,1
49,3
48,4
49,0
50,0
50,8
49,0
48,2
48,3
|
Среднее значение результатов испытаний, вычисленное по формуле (Ж.1),
= 49,5 МПа.
Среднее квадратическое отклонение, вычисленное по формуле (Ж.2),
S = 1,13 МПа.
Нижнюю доверительную границу Zн значения прочности в возрасте 28 сут вычисляют по формуле (Ж.3). Значение коэффициента К берут из таблицы Ж.1 при п = 50, Р = 95 %. К= 2,07.
Zн = 49,5 - 2,07 • 1,13 = 47,2 МПа.
По формуле (1) оценивают соответствие цемента требованию нормативного документа по прочности в возрасте 28 сут, т.е.
47,2 МПа < 48,0 МПа.
Заключение — Уровень качества цемента по прочности в возрасте 28 сут не удовлетворяет требованию стандарта к цементу класса прочности 42,5.
3 Расчет верхней доверительной границы Zн содержания оксида серы (VI) SО3 для цемента класса 32,5 с нормируемым стандартом содержанием SO3 Tн < 3,5 %.
Результаты испытаний
Номер
партии |
Xi ,МПа |
Номер
партии |
Xi ,МПа |
Номер
партии |
Xi ,МПа |
1
2
3
4
5
6
7
8
9
10
11
12
13
14
15
16
17 |
2,45
2,70
2,34
2,58
2,50
2,50
2,50
2,65
2,55
2,45
2,30
2,45
2,45
2,45
2,75
2,87
2,54 |
18
19
20
21
22
23
24
25
26
27
28
29
30
31
32
33
34 |
2,90
3,05
2,60
2,77
2,36
2,41
2,56
2,49
2,60
2,71
2,61
2,35
2,52
2,46
2,78
2,64
2,68 |
35
36
37
38
39
40
41
42
43
44
45
46
47
48
49
50
|
2,91
2,29
2,40
2,57
2,41
2,26
2,26
2,47
2,59
2,67
2,51
2,84
2,86
2,66
2,38
2,67
|
Среднее значение результатов испытаний, вычисленное по формуле (Ж.1),
Х = 2,56 %.
Среднее квадратическое отклонение, вычисленное по формуле (Ж.2),
S =0,18 %.
Верхнюю доверительную границу Zв содержания SO3 вычисляют по формуле (Ж.4). Значение коэффициента К берут из таблицы Ж.1 при
n = 50, Р = 90 %. K =1,65
Zв= 2, 56 + 1,65 • 0,18 =2,9 %.
По формуле (1) оценивают соответствие цемента требованию стандарта по содержанию SO3
2,9 % < 3,5 %.
Заключение — Уровень качества цемента по содержанию SO3 удовлетворяет требованию стандарта.
ПРИЛОЖЕНИЕ И
(информационное)
Библиография
[1] ENV 197-1 Цементы. Состав, технические характеристики и критерии соответствия
УДК [69+666 94] (083 94) ОКС 91.100.10 Ж 12 ОКСТУ 5730 Ключевые слова, цементы, классификация, общие технические требования, требования безопасности, отбор проб, правила приемки, оценка уровня качества
|
|
|